Economic Risk
Economic risk arises from the variability of economic phenomena under conditions of uncertainty. It affects the income or wealth of economic agents, whether individuals or businesses. This variability can be assessed using various statistical tools, such as variance and stochastic dominance.
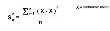
- Variance. The variance of a random variable X is a statistical measure of dispersion, indicating how much the values of X fluctuate around their expected value. It is computed by averaging the squared deviations from the mean. In essence, variance captures how far each observation Xi lies from the expected value E(X). It is typically denoted as Var(X) or S². The formula is shown below:

Variance can be calculated using a simple average (e.g., arithmetic mean) or the expected value of X as a reference point. When the probability distribution P is known for each realization Xi, the corresponding probability Pi is used to weight the squared deviation (Xi − E(X))2.

- Stochastic dominance. Stochastic dominance is a method of ranking random variables based on their probability distributions. It is widely used in decision theory to compare outcomes according to a decision-maker’s preferences and degree of risk aversion.
In the realm of credit, economic risk refers to the possibility that a borrower may fail to repay, fully or partially, the funds borrowed. From the lender’s perspective, this results in a financial loss - both in terms of unpaid principal and foregone interest payments.
https://www.okpedia.com/economic-risk
Have a question? Leave it in the comments and we'll answer on this page.
