Demand Elasticity
Demand elasticity measures the percentage change in quantity demanded in response to a percentage change in the price of a good.

Elasticity gauges the degree of sensitivity or responsiveness of demand to price changes (price responsiveness of demand).
In general, when we talk about demand elasticity, we are referring to price elasticity of demand. However, since there are other forms of demand elasticity (such as income elasticity), it’s better to specify the particular type of elasticity being discussed.
The Demand Elasticity Coefficient
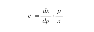
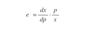
The price elasticity coefficient, represented by ε, is defined as follows:

The coefficient ε captures the relative change in quantity demanded ( Δx1/x1 ) of good x1 in response to a relative change in its price ( Δp1/p1 ).
Note: Changes in quantity and price can be expressed as either relative or percentage variations.
The elasticity coefficient is always given as an absolute value, disregarding the signs of price and demand changes.

The absolute value of elasticity can range from zero to infinity.
Point Elasticity on the Demand Curve
On a demand curve, elasticity changes from point to point.
To account for this, we often calculate point elasticity using infinitesimal calculus.
Point elasticity is the first derivative of demand with respect to price.

Point Elasticity: Point elasticity is measured at a specific point along the demand curve using infinitesimally small changes in quantity demanded and price. For example, on a demand curve, elasticity varies from one point to another, allowing us to determine how responsive (elastic) demand is to price at any given point along the curve.
Analyzing Elasticity on the Demand Curve
In the initial section of the demand curve, elasticity is less than one (low elasticity), meaning a price change leads to a proportionally smaller change in quantity demanded.

In the later sections of the demand curve, elasticity exceeds one (high elasticity), meaning a small price change results in a disproportionately large change in quantity demanded.
Types of Demand: Elastic, Inelastic, and Rigid
Why study demand elasticity?
Demand elasticity helps us understand the characteristics of the demand curve.
Depending on elasticity, demand can be categorized as follows:
- Unit Elastic Demand (e=1). Demand changes in direct proportion to price. When elasticity is exactly one, demand moves in perfect proportion with price changes.
For example, a 10% price drop leads to a 10% increase in quantity demanded. Thus, lowering the product’s price doesn’t affect the seller’s total revenue (R = P Q) because the percentage drop in price P is fully offset by the increase in quantity demanded Q.
- Inelastic Demand (e<1). Demand changes less than the price. When elasticity is between zero and one, demand is inelastic to price changes. Quantity demanded remains relatively unaffected by price shifts.
For instance, a 10% price cut might lead to less than a 10% rise in demand, say only 5%. Consequently, a decrease in price reduces the seller’s total revenue. Inelastic demand is common for essential goods (e.g., food, bread, milk) and, somewhat paradoxically, luxury goods (e.g., yachts, jewelry), since in both cases, purchasing behavior is not very responsive to price changes, albeit for different reasons.
- Elastic Demand (e>1). Demand changes more than the price. When elasticity is above one, demand is elastic in relation to price changes, meaning quantity demanded reacts more than proportionally to price shifts.
For example, a 10% price reduction might cause demand to increase by over 10%, perhaps even by 20%. Lowering the price, therefore, raises the seller’s total revenue. This kind of price sensitivity often appears in highly competitive international markets for standardized goods (e.g., agricultural products) under perfect competition.
- Perfectly Inelastic Demand (e=0). Quantity demanded does not change with price. It remains constant regardless of price fluctuations. Consumers continue buying the same amount of the good at any price.
For instance, a 10% price reduction has no effect on quantity demanded. Demand is completely inelastic (or rigid) for necessities (like food) and luxury items. For example, a low-income consumer typically buys the same amount of bread or salt regardless of price changes, and a high-income consumer does the same for luxury or refined items (such as caviar), despite any price fluctuation.
- Perfectly Elastic Demand (e=∞). Demand is extremely sensitive to price changes. A minor price variation can drastically alter consumers' purchasing decisions.
For instance, if the product's price increases by only 10%, demand may plummet by 90%, or vice versa.
